香蕉视频APP污下载,91香蕉短视频,大香蕉性爱网,香蕉狠狠爱视频

東莞市香蕉视频APP污下载儀器設備有限公司主營: 冷熱衝擊91香蕉短视频、 高低溫溫衝擊大香蕉性爱网、 高低溫衝擊箱等產品!

谘詢服務熱線:400-822-8565 網站地圖 生產實力

您的位置: 首頁 > 香蕉狠狠爱视频資訊

新型單機壓縮機高低溫91香蕉短视频的研製

文章出處: 責任編輯:香蕉视频APP污下载儀器 發表時間:2014-01-22
新型單機壓縮機高低溫91香蕉短视频的研製
隨著環境試驗技術的發展,對一些重要軍用設備的關鍵部件和電子元器件.需用到體積小、製冷溫度低、控製精度高的小型高低溫91香蕉短视频.而目前我國生產的高低溫箱(箱內容積最小為 60 升),其製冷係統均以氟利昂作為製冷劑,且必須使用2台壓縮機,不僅體積大,而且降溫時間也比較長。為此,香蕉视频APP污下载新近研製了一種容積為30升的小型高低溫91香蕉短视频,采用非氟利昂製冷劑,單機壓縮機,不僅使製冷係統整體體積縮小,而且低溫性能良好。它可進行高溫恒溫、超低溫恒溫、高低溫程控循環試驗。該設備生產成本低、箱體體積小、溫控精度高、設計安全可靠,在電工、電子、軍用材料、家用電器和醫學生物等領域均有廣泛用途。
 
  2   製冷係統設計
   本箱體的製冷係統是采用單個全封閉小型壓縮機,非氟裏昂製冷劑,達到一70℃以一下低溫的製冷係統。其特點是:體積小,製冷效率高。
 
  2.1製冷係統的工作原理
   單機壓縮機製冷係統,由1.壓縮機,2.冷凝器,3.通風機,4.幹燥過濾器,5.同流換熱器,6.低溫節流閥,7.蒸發器,8.調節閥組成。在裝置中充滿三種成份的烴類混合製冷劑.壓縮在壓縮機中的混合物流向冷凝器.在冷凝器中隻有一種成分轉換成液相。通過冷凝器後,高壓蒸汽液體混合物通過過濾器到達同流換熱器,冷卻至約一40 ℃~一50℃,通過同流換熱器蒸汽液體混合物不斷地節流,溫度降低至約-10 0 ℃,並流向熱交換器。在這裏混合物汽化,並回升至一80℃,然後逆流流到冷卻直流的同流換熱器中。從同流換熱器中出來後,逆流混合物的溫度比室溫低 10 一 巧 ℃,並回到壓縮機中。
 
  2.2 製冷係統主要特性的計算
   2.2.1箱子的熱計算主箱體可看作一個正方體,容積v=o 40 升,表麵積F 二 O.M7,。在箱子為正方體的條件下,所計算的熱流表麵積等於箱子的表麵積,且不取決於絕熱層的厚度6.隨著6的變化,箱子的外部尺寸也隨著之變化。箱子本身及其外殼是用厚度為0.6 ~2.Smul的不鏽鋼作的,箱壁和外殼的熱阻可以忽略不計。用聚苯乙烯作為絕熱層,其熱導係數為入=0.04 w/ MK,比重為丫 T二33KG /r 熱流量 =Q KF (T一T0 )K一環境空氣和箱內空氣之間的散熱係數;T和T於環境溫度和箱內溫度,計算時 =T 30K0,TO二2 03K
高低溫91香蕉短视频 
箱子內外的散熱係數,在自然對流沒有通風的條件下絕熱體的厚度為90 毫米。此時,可計算出箱體的熱流量為28w。估算表明,通過導線的熱流量不超過 10 瓦,而熱橋上的則不超過7瓦。所以,可以的計算,靜止狀態下的箱內溫度等於一 70℃,流到箱內的總流量為45 瓦。
   .
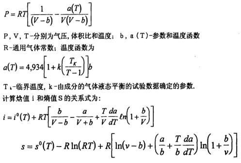
2.2 混合製冷劑的熱力性質的計算
   對於多成分工質,可運用體積狀態方程來進行熱力計算和節流循環的分析。其主要優點在於:    1) 熱力性質計算,方程式簡單,    
      2) 說明氣態和液態平衡物質的連續性在體積狀態方程中,香蕉视频APP污下载使用P K B (列德裏赫一克沃格) 方程計算熱力性質.P KB方程:
 
 
高低溫91香蕉短视频 
上述關係式中,i“(T)和 s“(T)一般為溫度的多項式.
 對於多成份工質,方程保持原狀,0s(約一理想氣體消的溫度關係但它的參數a和b則取決於混合物的成分。采用貝爾特拉一果爾采恩參數的複合定理:
高低溫91香蕉短视频 
   根據以上公式,可計算出各種混合冷卻劑的機器特性,並比較其循環特性。
 
3.電器控製原理
4.
  3.1設計要求:a.箱體內溫度範圍:一 70 ~ +125℃;b.升降溫速率:十 35℃降至一 70℃的時間簇 90 分鍾,反之亦然;。.考核升降溫速率時:環境溫度+15 ~ + 35℃:d.溫度波動度:士 0.5 ℃;e
.溫度均勻度:士 2 ℃。
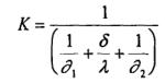
3.2控製原理
高低溫91香蕉短视频 
   控製原理框圖如上圖所示,盯 為10鉑電阻,在很寬的溫度範 圍內有良好的均勻性各靈敏度短處是必須附加恒流源裝置。虛線框內代表PDI溫度程字控製器,通過執行機構來平衡箱內溫度。香蕉视频APP污下载在本設備的設計中,采用了的數字可編程調節器,由於生產廠家是批量生產,所以成本並不高,而功能卻很強,控製精度也極高。它在裝機運行中,經過香蕉视频APP污下载仔細設計,顯示了強大的控製功能,克服了以往 PI D 調節器調試周期長應用難度大的困難。由於香蕉视频APP污下载采用時間比例溫度功率輸出,大功率可控矽代替繼電器開關,特別是製冷係統啟動/關停程序自動控製技術, 避免了節流裝置中毛細管長度改變控製低溫溫度以達到平衡的老方法,在高溫恒溫和低溫恒溫都有0.2 的控製精度。這些設計措施,不公有效地提高整機性能,且許多控製機能都集中於 PDI調節器本身,大大減少了外部電路,PI D調節器又有極強的抗幹擾和可靠性安全性能,使得整台設備的可靠性水平大大提高。
 
 
4.箱體的結構設計
 
箱體的結構設計主要體現以下特點:
(1) 體積小,,重量輕;
(2) 絕熱層采用聚氨醋發泡,隔熱效果較好;
(3) 外形美觀;箱體前麵部分采用 目前較流行的圓弧形設計,箱體本身和它的外殼是用厚度為0.6 ~2.Snl的不鏽鋼材料,用數控車床加工而成的。
 
箱體的熱交換原理
箱體的熱交換特點是在熱交換通道內將冷熱空氣混合,得到均勻的氣流後,再送工作箱內。采用軸流風機送風裝置,結構簡單,依靠它的攪拌風力能在較寬的溫度範圍內使用,這種係統溫度溫度均勻度性能良好。箱體隔熱材料選用聚氨酷,這種材料具有導熱率低、熱穩定性能好的特點。
 
5.試驗結果
  采用典型的機載 電子設備可靠性試驗溫度剖麵,香蕉视频APP污下载進行了溫度試驗,試駿數據見下表。
高低溫91香蕉短视频 
試驗結果表明 ( 見圖2 ),除升溫和降溫階段之外,該設備其他階段的精度均可達到國內領無水平.
http://www.sxjnkj.com 

電話

賈小姐

15899697899

微信

二維碼

加微信好友

郵箱

電子郵箱

zhenghang@vip.126.com

網站地圖