香蕉视频APP污下载,91香蕉短视频,大香蕉性爱网,香蕉狠狠爱视频

東莞市香蕉视频APP污下载儀器設備有限公司主營: 冷熱衝擊91香蕉短视频、 高低溫溫衝擊大香蕉性爱网、 高低溫衝擊箱等產品!

谘詢服務熱線:400-822-8565 網站地圖 生產實力

您的位置: 首頁 > 香蕉狠狠爱视频資訊

氣彈簧高低溫疲勞試驗方法與裝置開發研究

文章出處: 責任編輯:香蕉视频APP污下载儀器 發表時間:2014-01-22
 氣彈簧高低溫疲勞試驗方法與裝置開發研究
    氣彈簧(Gas spring)是一種不同於傳統金屬彈簧的彈性元件,通過活塞在密封
的缸筒內壓縮惰性氣體或者油氣混合物,利用缸筒活塞兩側的壓力差所產生的軸向
力來實現支撐、緩衝、製動、複位、高度調節及角度調節等功能,已經廣泛用於汽
車、航空、醫療器械、家具、機械製造等眾多領域。隨著我國工業的迅速發展,對
氣彈簧產品的性能要求不斷提高。2010 年國家標準《GB/T 25750-2010 可鎖定氣
彈簧技術條件》和《GB/T 25751-2010 壓縮氣彈簧技術條件》正式發布實施。國
家標準中規定了高低溫環境下的疲勞試驗要求,比此前實施了十幾年的行業標準中
的高低溫儲存疲勞試驗更科學合理,對產品要求更苛刻。
   氣彈簧高低溫疲勞試驗是模擬氣彈簧在惡劣環境下工作的試驗方法,是氣彈簧
的重要性能指標之一。由於原來的行業標準中沒有相應的技術要求,目前國內上還
沒有用於氣彈簧的成型檢測設備,使國家標準的實施遇到困難。本文對氣彈簧高低
溫疲勞試驗進行了分析,並介紹氣彈簧高低溫疲勞大香蕉性爱网研發情況。
  氣彈簧高低溫疲勞試驗介紹
    氣彈簧是由一個密閉缸筒和可以在缸筒內滑動的活塞及活塞杆組件組成的以
氮氣或其他惰性氣體為儲能介質的彈性元件[1]。其工作原理是利用氣體可壓縮性,在
製造過程中進行加壓充氣,使缸筒內的壓力高於大氣壓的幾倍或者幾十倍。在工作
過程中利用活塞杆的橫截麵積小於活塞的橫截麵積而產生的壓力差來提供支撐力
以實現活塞杆的運動[2]。
     與傳統的金屬彈簧相比,氣彈簧具有以下特點:壓縮和伸展過程中速度相對緩
慢;阻尼效應可以控製運動速度,避免產生諧振;徑向尺寸較小且行程較長,具有
穩定並且可選擇的近乎於線性的彈簧特性;動態力變化不大(通常在 1:1.2 以內)。
常見的氣彈簧的外觀結構如圖 1-1 所示。
氣彈簧高低溫疲勞試驗方法與裝置開發研究 
     在實際使用過程中,大多數的氣彈簧在工作載荷作用下,其缸筒、活塞、活塞
杆等結構零件的工作應力遠低於其屈服極限,出現過載失效的幾率不大。但由於非
預期的載荷作用而造成氣彈簧失效的情況也時有發生,近些年甚至發生了數起由於
介質選用不當而引起的氣彈簧爆炸事件。由材質、加工及裝配質量等原因引起的氣
彈簧早期壓力減小甚至消失的情況也是氣彈簧失效的一種形式。為保證氣彈簧的質
量與性能,國家標準中規定了一係列靜態性能指標及試驗方法。
在變載荷作用下,經過較長時間使用後發生失效的現象稱為氣彈簧的疲勞失效
[3]。 據統計,約有 80%以上的氣彈簧失效是由疲勞引起的。氣彈簧的疲勞失效已經
成為氣彈簧行業管理者與技術人員所關注的焦點。氣彈簧的疲勞失效主要表現為力
   特性的變化,其原因主要是密封件的失效。在氣彈簧內部,無論是密封材料還是氣
液介質,均對溫度的變化敏感性較強,所以進行高低溫環境下的疲勞試驗是很有必要的。
   針對國內外的采購商對氣彈簧產品的性能要求的不斷提高,為推動氣彈簧技術進步、提高產品質量及促進行業發展,全國彈簧標準化技術委員會在總結機械行業標準《JB/T 8064.1—1996 壓縮氣彈簧》、《JB/T 8064.2—1996 可鎖定氣彈簧》和汽車行業標準《QC/T 207—1996 汽車用普通氣彈簧》等標準的實施經驗基礎上,結合國內外技術發展現狀,組織製定了兩項氣彈簧技術條件國家標準《GB/T 25750—2010 可鎖定氣彈簧技術條件》及《GB/T 25751—2010 壓縮氣彈簧技術條件》,並於 2010 年正式發布實施[4][5][6][7]。國家標準將行業標準中未規定的高低溫環境下的疲勞試驗納入了標準內容。
    氣彈簧最廣泛的使用範圍為汽車工業,由於汽車行駛環境溫度變化較大,對氣彈簧在不同環境溫度下的使用性能提出了越來越高的要求。氣彈簧高低溫疲勞試驗是模擬氣彈簧在高溫以及低溫環境下工作的動態試驗方法,可以正確地評價氣彈簧在不同環境溫度下的疲勞特性。根據《GB/T 25751—2010 壓縮氣彈簧技術條件》標準的規定,氣彈簧要在低溫-40℃和高溫+80℃的環境中進行動態循環壽命試驗,試驗後其公稱力的衰減量作為氣彈簧的重要性能指標之一。
目前國內尚無定型的商品化的氣彈簧高低溫疲勞試驗檢測設備,絕大部分氣彈簧生產廠仍沿用高低溫儲存疲勞試驗,即將氣彈簧放置在高溫箱及低溫箱中保持一段時間後取出,在室溫狀態上進行疲勞循環試驗[8] [9],此時氣彈簧已經處於常溫狀態,並不能真實地模擬氣彈簧的實際使用狀況。
   國內外發展技術現狀
目前,國際上規模較大、技術較成熟的氣彈簧生產企業主要有德國的 STABLIUS公司、DICTATOR 公司、SUSPA 公司以及瑞典的 KALLER 公司等。這些生產企業生產的氣彈簧產品種類較多,通過對氣彈簧內部機構的不同設計,可以達到不同場合的使用要求。其生產的氣彈簧產品性能穩定,工作可靠,幾乎壟斷了高端氣彈簧市場。
  國外生產的氣彈簧主要工作溫度均為-10℃(使用防凍油液可達-30℃)~+80℃。在產品出廠前,各製造廠均會對氣彈簧的疲勞特性進行測試。試驗包括低溫狀態、常溫狀態以及高溫狀態下的疲勞試驗,不同試驗狀態下的疲勞試驗均采用不同的試驗設備進行測試。
目前尚無氣彈簧性能檢測的國際標準或國外國家標準,大部分的氣彈簧生產企業均依據企業標準或合同要求進行生產和相關試驗。各大生產企業幾乎都是根據自身使用條件開發相應的檢測試驗設備以進行試驗。如美國某汽車公司的企業標準中對氣彈簧的高低溫疲勞試驗規定如下:將氣彈簧總成用金屬部件夾持,以 6 次/分鍾的速度對其加以循環載荷。先將其放置在+25℃±1.8℃的環境溫度下,進行 6600 次循環試驗;然後將其放置在-28℃±1.8℃的環境溫度下,進行 200 次循環試驗;最後將氣彈簧總成放置在+32℃±1.8℃的環境溫度下,進行 200 次循環試驗。氣彈簧的公稱力變化應不大於 8%。
我國規模較大的氣彈簧生產企業有 100 多家,主要分布在浙江、江蘇、上海、廣東和山東等地。相對於上述國際知名氣彈簧生產企業,我國氣彈簧生產企業以生產製造型為主,在相關的理論研究及試驗方麵投入較少。由於較早的氣彈簧行業標準中並未對氣彈簧在高低溫環境下的疲勞試驗進行規定,且絕大部分企業都不具備高低溫環境疲勞試驗的檢測能力,目前仍沿用常溫狀態下的疲勞試驗和高低溫貯存疲勞試驗方法。
從上世紀九十年代開始,全國彈簧標準化技術委員會就開始組織相關企業進行氣彈簧疲勞性能方麵的研究工作,對氣彈簧產品進行了大量的檢測試驗並取得了手數據。但限於當時技術水平及試驗能力的製約,研究的深度及係統性不夠。
   研究意義及目的
   氣彈簧在我國是一個起步較晚的行業,也是一個比較小的行業,隨著我國製造業的迅速發展,國際競爭的日益激烈,對氣彈簧產品安全穩定工作的性能要求也日益提高,而氣彈簧生產企業及第三方檢測機構氣彈簧性能檢測設備則顯現出明顯不足。
   近些年來,基礎零部件行業麵臨轉型升級,對高檔產品的需求呈上升趨勢,中機生產力促進中心配備的試驗設備隻能進行氣彈簧力學性能試驗及常溫疲勞試驗,遠遠不能滿足日益增大的檢測試驗需求。亟需增加一台高低溫疲勞大香蕉性爱网,以填補試驗室在此領域的空白。
   機械工業通用零部件產品質量監督檢測中心,作為國內針對氣彈簧產品的第三方檢測機構,具備氣彈簧常規檢測能力,可以進行氣彈簧力學性能試驗及常溫疲勞試驗,但目前尚不具備氣彈簧高低溫疲勞試驗手段。
國內已有企業在原有常溫疲勞大香蕉性爱网的基礎上,自行開發了氣彈簧高低溫疲勞試驗裝置,但其結構比較簡單,且缺少試驗驗證結果,尚不能滿足國家標準的要求,仍未形成商品化的產品。
研發氣彈簧高低溫疲勞大香蕉性爱网,實現使用同一台設備進行高溫及低溫兩種不同的環境狀態下的氣彈簧疲勞試驗的檢測,,為機械工業通用零部件產品質量監督檢測中心及氣彈簧行業提供滿足國家標準試驗要求的試驗手段,對推動我國的氣彈簧行業的生產製造和質量保證,提升國際競爭力具有十分重要的意義。
研究內容
對氣彈簧進行理論分析,提出氣彈簧疲勞試驗的理論基礎。對氣彈簧在高低溫環境下的疲勞試驗進行理論分析研究,在不同的環境溫度下對氣彈簧產品進行加速疲勞試驗獲取氣彈簧的疲勞特性隨溫度變化的關係。采集試驗過程中氣彈簧的彈簧力的變化以及氣彈簧油液的泄露量,分析解釋氣彈簧在不同環境溫度下的疲勞失效形式及原因。
通過對氣彈簧動態疲勞大香蕉性爱网動力傳遞係統、機電控製係統、軟件係統的相關研究,實現以下氣彈簧高低溫疲勞試驗技術參數:
1)測量氣彈簧行程範圍 S:1~250mm;
2)測量氣彈簧長度範圍 L:100~800mm;
3)試驗頻率範圍:0.03~0.1Hz(2~6 次/min);
4)加載範圍:0~3000N;
5)溫度範圍:-60℃~+120℃;
6)溫度波動度:±1℃;
7)溫度均勻度:≤2.0℃;
8)溫度偏差:±2.0℃;
9)大香蕉性爱网符合 GB/T 25751—2010 技術要求;
第二章 氣彈簧高低溫疲勞試驗分析
   氣彈簧按照不同的結構形式,可分為壓縮氣彈簧與可鎖定氣彈簧兩大類。壓縮氣彈簧是指在無外力作用下活塞杆呈自由伸展狀態,在承受大於其舉升力的外力時收縮,達到力平衡或壓縮終點時停止,外力撤出或減小時回彈的氣彈簧。可鎖定氣彈簧基本原理與壓縮氣彈簧類似,增加了鎖定機構,結構有所不同。本文以壓縮氣彈簧(文中簡稱氣彈簧)為研究對象,研究其他類型氣彈簧時需要考慮結構的不同和控製上的差異。
2.1 簡化氣彈簧
為了建立合理的數學模型以說明氣彈簧的特性,首先將氣彈簧進行簡化,缸筒簡化為剛性體,並假定介質為理想的線性彈性體,不考慮氣彈簧內部摩擦以及溫度變化的影響。圖 2-1 為簡化氣彈簧的結構示意圖。
氣彈簧高低溫疲勞試驗方法與裝置開發研究 
2.1.1 簡化氣彈簧的力特性
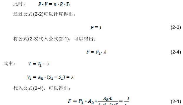
   如圖 2-1 所示,在外部施加壓力 的狀態下,設橫截麵積為的活塞杆在橫截麵積為
的缸筒中沿軸向運動。活塞杆與缸筒之間密封,活塞上有一阻尼孔使活塞兩側聯通,介質壓力為 。在有效工作行程中的任意位置,壓力平衡時均有:
 
   由公式(2-1)可知, 在簡化氣彈簧中, 彈簧力 是缸筒內的壓力 與活塞杆橫截麵積的乘積。
設氣彈簧完全伸展狀態下的活塞位置為S,對應於此狀態下的缸筒內壓力為,此時氣彈簧作用力如下:
 
   現將氣彈簧完全伸展狀態以及完全壓縮狀態下的彈簧力對應地繪製於圖 2-1中,可以看出,在簡化狀態下,彈簧作用力與進入缸筒內的活塞杆長度呈線性關係。將氣彈簧的壓縮與 伸展過程簡化為符合公式 (2-2) 的熱力學多方過程(Polytropic Equation)。由氣體特性可知,缸筒內的壓力與氣體體積之間的關係為:
 
式中: 為缸筒內氣體壓力;為缸筒內氣體體積;為多方指數,為實數;為常數;在恒溫狀態下(即保證活塞杆運動過程中缸筒內的氣體溫度保持不變)。熱力學多方方程與理想氣體狀態方程(克拉伯龍方程)等價。
 
 
氣彈簧高低溫疲勞試驗方法與裝置開發研究 
是氣彈簧完全伸展狀態下的可壓縮氣體體積,即氣彈簧的活塞杆處於位置時的體積。 是活塞杆壓入缸筒內的長度。由公式(2-1)可知,對氣彈簧力特性有影響的因素有以下幾個:
——完全伸展狀態時缸筒內氣體的壓力;
——活塞杆的橫截麵積;
——可壓縮氣體的體積
或者缸筒的橫截麵積;
公式(2-1)中假設則可簡化如下:
通過改變公式(2-1)中可變參數的值,可以得出如圖 2-2 所示的特性曲線。
氣彈簧高低溫疲勞試驗方法與裝置開發研究 
 
    從圖 2-2 可以看出,在氣彈簧活塞杆橫截麵積及缸筒的橫截麵積不變的情況下,隨著完全伸展狀態時缸筒內氣體的壓力的增大,彈簧特性會相應地出現向上的偏移。在氣彈簧完全伸展狀態時缸筒內氣體的壓力及缸筒的橫截麵積不變的情況下,隨著活塞杆的橫截麵積
的增大,彈簧特性會相應地出現向上偏移。在氣彈簧完全伸展狀態附近,彈簧特性呈線性上升趨勢;在氣彈簧完全壓縮狀態附近,彈簧特性呈指數上升趨勢。在氣彈簧完全伸展狀態時缸筒內氣體的壓力及活塞杆橫截麵積不變的情況下,隨著缸筒橫截麵積的減小,彈簧特性呈指數上升趨勢。
2.1.2 簡化氣彈簧的彈簧特性和剛度
    文中引入彈力比率 表示氣彈簧在完全壓縮狀態時的公稱力與完全伸展狀態時的公稱力
的比值。此值與彈簧特性曲線是否呈線性無關。即:
 
由公式(2-1)可以看出,為了要得到更小的彈力比率 ,可以增大缸筒的體積或減小活塞杆的橫截麵積。將公式(2-1)進行微分,可以得到時的彈簧剛度 如下:
 
假定氣彈簧的彈簧特性為線性,則彈簧剛度可以通過對彈簧特性的增加率計算如下:
 
通過以上分析可以看出,氣彈簧的剛度特性可以用氣彈簧的基本參數與彈簧特性表示。
  實際氣彈簧
   氣彈簧在實際使用過程中,會受到密封件的摩擦阻力、阻尼孔的流體阻力以及缸筒內溫度變化等因素的影響而表現出與簡化氣彈簧不同的彈簧特性。下麵對實際氣彈簧的彈簧特性展開分析。
2.2.1 實際氣彈簧的彈簧力和彈簧特性
   圖 2-4 為實際氣彈簧的彈性特性的分析圖。從圖 2-4 中可以看出,氣彈簧在 A 點處於完全伸展狀態,此時施加外力,彈性特性曲線沿箭頭方向從 A 點向 B 點變化,氣彈簧在 B 點處被完全壓縮。撤除外力後,其彈簧力並非按 B-A 變化,而是沿平行於 B-A 的一條曲線變化。在此過程中,必須克服與運動方向相反的摩擦力。而整個過程中彈簧力的方向始終不變,壓縮和回彈過程中彈簧力與摩擦力合成的變化形成了回滯現象,氣彈簧伸展力與壓縮力與簡化氣彈簧的彈簧力的差值基本相同,動態摩擦力的存在是因為阻尼孔內的流體阻力以及密封件之間滑動摩擦力的綜合作用。不同種類摩擦力的產生及其大小取決於氣彈簧的運動狀態。如果活塞杆處於壓縮狀態或伸展狀態,則動態摩擦力作為摩擦力出現;當活塞杆處於停止狀態時,靜態摩擦力作為摩擦力出現。
氣彈簧高低溫疲勞試驗方法與裝置開發研究 
氣彈簧高低溫疲勞試驗方法與裝置開發研究 
     針對上述的實際氣彈簧在使用過程中可能出現的這兩種摩擦力的區別可以對應地進行兩種不同類型的測量。
1) 動態測量法
   氣彈簧以一個恒定的速率從完全伸展位置被壓縮至完全壓縮位置。之後,活塞杆以某種可控製的方式以相同的速率伸展。測量和記錄整個過程中的力特性並繪製力-位移曲線。
氣彈簧伸展或壓縮過程中的流體阻力依賴於測量或調整的速度。因此,對應較大的壓縮或伸展速度,會產生更大的動摩擦力;對應較小的壓縮或伸展速度,則動摩擦力也會相應減小。流體阻力同時也受阻尼孔形狀和大小的影響。
2) 靜態測量法
    與動態測量法類似,靜態測量也是在恒定的速度下進行的測量,隻是在測量某點時中斷活塞杆的運動來測量彈簧力,將整個狀態下的力特性記錄下來並繪製力-位移曲線。根據圖 2-4 可知,氣彈簧伸展力和壓縮力與簡化氣彈簧的彈簧力的差值基本相同,靜態摩擦力的產生是因為密封部件間存在靜態摩擦力。靜態摩擦力通常大於動態摩擦力,因此在活塞杆的伸展過程中,對應於靜態摩擦力的彈簧力要大於對應於動態摩擦力的彈簧力。
上述兩種不同的測試方法均是在標準室溫下進行的。為了獲得可重複的測量結果,在進行測量之前要預先進行兩次預壓縮。圖 2-5 表示出氣彈簧運行過程中前三個行程中的彈簧特性。
氣彈簧高低溫疲勞試驗方法與裝置開發研究 
     在第 1 次行程中最初處出現的峰值力被稱為氣彈簧啟動力。氣彈簧啟動力會在氣彈簧初次使用或長期未使用時出現,這是因為密封圈下的潤滑劑不足而造成靜摩擦力增加。第 2 行程和第 3 行程所測得數據基本相同,是因為此時氣彈簧啟動力已經被消除掉了。
   綜上所述,彈簧力的大小可以由缸筒內的初始壓力,彈簧特性的大小以及氣彈簧形狀尺寸(缸筒和活塞杆的橫截麵積)所決定。
    氣彈簧的使用壽命
    氣彈簧的使用壽命可以用其完全伸縮並且正常工作的次數來表征。一般的氣彈簧都是按照能夠運行 50,000 次而不發生失效來設計的。根據氣彈簧的不同使用要求,經常會對氣彈簧的使用壽命提出更高的要求,例如在旋轉座椅中使用的氣彈簧要求其可以達到使用一百萬次不發生失效。國家標準 GB/T 25751—2010 中的 6.5.2 款對氣彈簧的環境循環壽命做出了詳細的規定:使用環境惡劣的氣彈簧經-40℃ 1000 次和+80℃ 1000 次高低溫動態循
環疲勞壽命試驗後,其公稱力的衰減量應不大於 5%。經高低溫動態循環壽命試驗的氣彈簧,再經常溫 18000 次循環壽命(行程≤200mm 時,按實際行程;行程>15200mm 時,按 200mm)試驗後,其公稱力的總衰減量應不大於 13%,其動態摩擦力應符合標準 GB/T 25751—2010 中表 2 的規定,油液帶出量應小於 0.5g。
2.4 氣彈簧疲勞失效分析
    總體而言,氣彈簧發生疲勞失效是不同原因綜合作用的結果。但氣彈簧在不同
的環境溫度下使用時,其使用性能及使用壽命也存在差異。在常溫情況下,氣彈簧的疲勞失效的發生主要表現為由於密封件老化引起的漏油漏氣、氣彈簧缸體因活塞與缸體之間的摩擦力作用變形而導致的卡阻、缸筒內油氣混合的自然泄露而產生的舉升力不足、自鎖力減小甚至為零等。
   氣彈簧的密封屬於接觸式密封,接觸式密封是指密封件與被密封件之間相接觸的一類密封方式。摩擦和磨損是氣彈簧密封圈損壞的主要形式,動密封間由於相對運動而產生摩擦,導致發熱和零件表麵的磨損,最終引起氣體泄漏及密封件損壞;磨損程度取決於摩擦力的大小,當壓力缸內的壓力逐漸增大時,密封圈與缸體之間的接觸麵積和摩擦力也隨之增大。在氣彈簧的使用過程中,橡膠密封在摩擦功的作用下,表麵因產生疲勞而磨損;同時,橡膠產生的應變會引起橡膠內部生熱,從而導致表麵老化。在常溫情況下,環境溫度對氣彈簧各零部件的影響較小,因此可以不考慮溫度對其使用壽命的影響。此時,氣彈簧失效的主要原因為各零部件在製造過程中的誤差以及密封零件的老化。氣彈簧本身的結構也會影響氣彈簧的使用性能,若氣彈簧的工作行程過長,則會降低氣彈簧的穩定性,氣彈簧的活塞杆在受力後產生形變,會加重活塞杆與缸筒內壁以及活塞杆與密封元件之間的摩擦,進而導致缸筒的內壁和密封件磨損,造成氣密性下降。而且,氣彈簧在工作的過程中如果受到外界碰撞,會導致氣彈簧的內壁表麵形成凹凸痕跡,此種情況下,活塞杆在伸展和壓縮的過程中會引起密封件的劃傷和磨損,從而導致油液泄漏的產生,最終影響氣彈簧的彈簧力。
    在高溫環境下工作的氣彈簧,因其工作溫度高,油液介質的壓力增大,密封材料的彈性模量下降,直接導致剛度下降,承載能力變小,氣彈簧缸筒內氣體溫度升高加速了橡膠密封的熱氧老化反應及性能變質。因此要求其密封材料有較好的熱穩定性、抗鬆弛或蠕變能力、抗氧化能力、耐介質腐蝕能力。密封元件的老化會導致氣彈簧出現漏油漏氣現象,最終導致失效。在高溫環境下,氣彈簧內部填充的油氣混合物的粘度會較之常溫狀態時變小,加重油液介質泄漏,嚴重情況下會導致氣彈簧舉升力不足。在低溫下工作的氣彈簧,要求其材料應具有良好的低溫韌性。低溫下氣彈簧缸
    16筒內的油液混合介質的粘度會增大,從而導致氣彈簧在運行過程中的阻力增大、加
速各零部件之間的磨損,失穩危險性加大,從而導致配合間隙增大,形成溝槽而最終導致油氣泄漏而失效。氣彈簧的密封件一般為非金屬材料,對溫度的敏感性高,在高溫、低溫和高低溫環境交替條件下會加速老化而失去彈性,影響密封,情況較嚴重時,會出現龜裂、硬化等情況,對氣彈簧的使用壽命產生明顯影響。氣彈簧在惡劣環境溫度下的加速試驗可以縮短疲勞試驗周期,在最短時間內使氣彈簧發生疲勞失效。因此,在的氣彈簧發展狀況下,我國新國標對氣彈簧高溫及低溫環境下的循環壽命試驗做出了詳細規定。
http://www.sxjnkj.com 

電話

賈小姐

15899697899

微信

二維碼

加微信好友

郵箱

電子郵箱

zhenghang@vip.126.com

網站地圖